限塑令的逐步推行,各大商超積極響應國家政策,紛紛替換了符合限塑令政策的可降解塑料袋。但不知大家有沒有觀察到,在可降解塑料袋的配方中,幾乎都能見到PBAT+PLA,這種體系在做袋子上面有何種優勢呢?
01 淀粉
淀粉廣泛分布于水果或植物果實、根蒂或葉片當中,全世界每年有高達數億噸的淀粉產量,是眾多可再生且可生物降解的資源當中的一種,有著來源廣泛、價格低廉的優勢。但由于天然淀粉因具有微晶結構及粒狀結構,不具有熱塑加工性能,需被改造為熱塑性淀粉,從而具有熱塑加工性能。

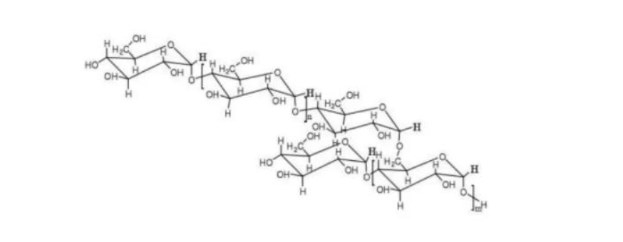
支鏈淀粉結構

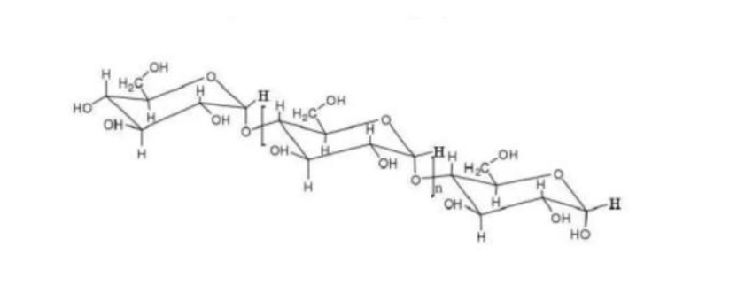
直鏈淀粉結構
02 PBAT 聚己二
但是在現實應用中也存在很多不足∶ PLA 的韌性比較差,缺少彈性以及柔性,質地硬而且脆性大,溶體強度相對較低,結晶速率過慢等,上述缺陷限制了其在很多方面的應用。
酸/對苯二甲酸丁二脂(PBAT)是其中備受關注的一類可降解聚酯,既具有PBT聚酯良好的力學性能,又兼具脂肪族聚酯良好的拉伸性和延展性,此外,還具有優良的生物降解性,可以在自然條件下降解為水和二氧化碳,是生物降解塑料研究中非常活躍和市場應用最好降解材料之一。

該材料的價格較高,限制了其在市場中的應用。但基于禁塑令的影響,可降解塑料行業已經進入了爆發期,其中最具潛力放量的品種之一就是PBAT,主要原因一是國內已經掌握了成熟的PBAT生產技術和設備,二是我國擁有比較充足的PBAT原料產能。
03 PLA
PLA也稱為聚乳酸,聚乳酸的生產過程無污染,而且產品可以生物降解,實現在自然界中的循環,因此是理想的綠色高分子材料,是生物基生物降解塑料的代表之一。

但是在現實應用中也存在很多不足∶ PLA 的韌性比較差,缺少彈性以及柔性,質地硬而且脆性大,溶體強度相對較低,結晶速率過慢等,上述缺陷限制了其在很多方面的應用。
PLA 的化學結構中含有大量的酯鍵,導致其親水性差,降解速率需要控制等。而且 PLA 價格較高,增加了原料成本,也限制了其在商業上的推廣。
04 PLA與PBAT互補
【相容性】
PBAT與PLA的熔融共混是一種物理改性手法,其要點就是要求兩者相容性好。但PBAT與PLA的溶解度差異較大,因此相容性差,很難混合均勻。改善PBAT與PLA的相容性就是首要問題。需要在共混加工過程中加入一種或多種增容劑,提高PBAT、PLA界面的粘合力。常用的增容劑有∶增塑劑、反應性增容劑、韌性高分子聚合物。
【力學性能】

PLA與PBAT有著互補的性能,因此必然存在綜合性能好的質量比。
1、PLA比例升高至40%為節點,材料拉伸強度先減小后增大,斷裂伸長率先是大幅度下降,隨后保持平穩。
2、如果PLA含量大于70%則材料脆性過強無法吹塑成膜。因此PLA與PBAT的比例應根據添加劑情況維持在1∶1左右。
【降解性能】
生物降解材料在降解初期,水分子進入發生水解反應。如果是單獨的PBAT材料,由于分子結構存在剛性酯鍵,水分子難以進入因此不易降解。而PLA分子易被水分子攻入發生內部降解,因此PLA含量越高,材料降解速度越快。
淀粉基塑料性能缺陷較大,使用范圍受限,但由于價格便宜,得到廣泛使用。隨著 PLA 和 PBAT 技術逐步成熟,成本不斷下降,加上產能擴張,未來可降解塑料主要增長點將集中在 PLA 和 PBAT。而淀粉基材料將成為 PLA、PBAT 等塑料的填充物,起到降低成本的作用。

全國服務熱線